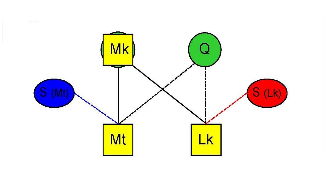
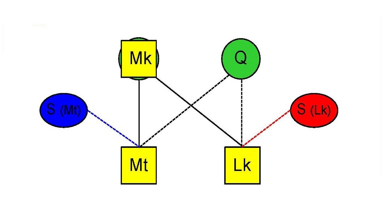
Power-Point-Präsentation für die Oberstufe Zwei-Quellen-Theorie

Die PowerPoint-Präsentation zur Zwei-Quellen-Theorie unterstützt Ihren Unterricht in der Visualisierung des Lehrervortrags und der Erarbeitung des Themas durch die Schülerinnen und Schüler.

In beiliegender Lehrerhandreichung werden unterschiedliche Einbindungsmöglichkeiten in den Unterricht der Oberstufe gegeben.

Zwei Arbeitsblätter zum Ausdrucken/Kopieren liegen im pdf-Format bei.

Details

Claudia Rothenberger
Power-Point-Präsentation; Lehrerhandreichung; Arbeitsblätter
Dateiformate: PPTX, PDF
E-90-00014

Zugehörige Medien

Zwei-Quellen-Theorie
NOTEBOOK
6,95 Euro